william威廉英国官网
当前位置: 网站首页>>系部动态>>通知公告>>正文
系部动态
通知公告
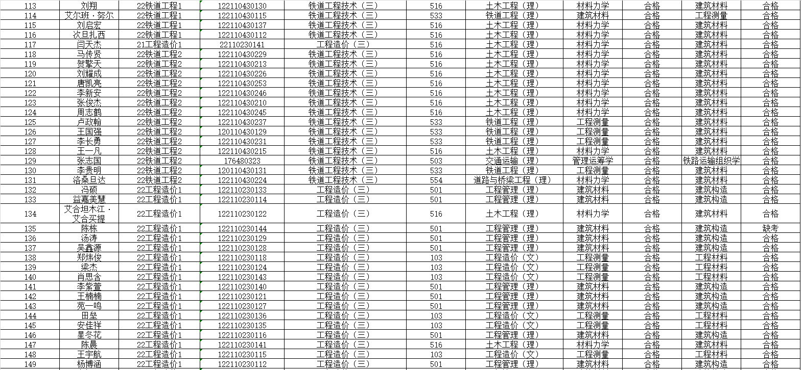
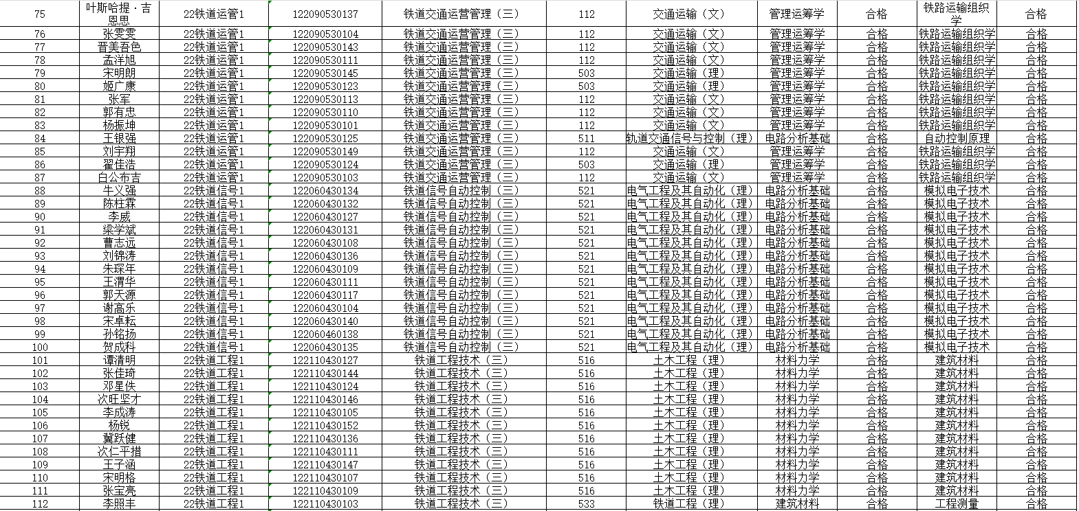
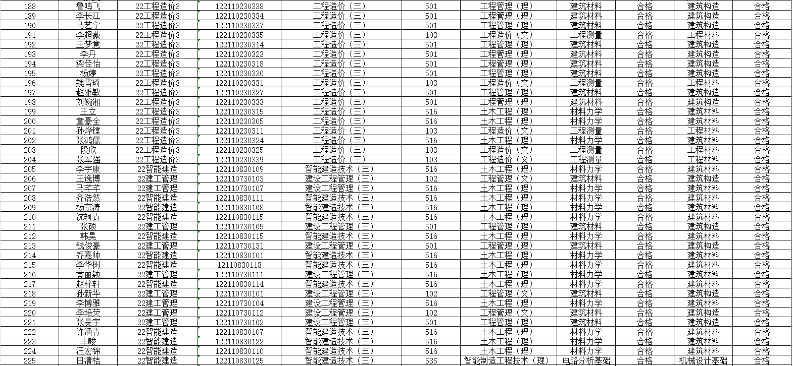
2025年专升本专业课考核成绩公示
来源:william威廉英国官网 阅读: 日期:2025-03-04

根据william威廉英国官网专升本专业课考核通知要求,william威廉英国官网3月3日统一组织专业课考试,现将2025年专升本专业课考核成绩公示如下:

公示内容:2025年专升本专业课考核成绩

公示时间:2025年3月4日至2025年3月6日

注意事项:请考生认真核对个人信息及成绩数据,如有异议请及时联系教学与管理科(行知楼南201室)。

扫描手机阅览/分享
陕西省教育厅 | 教务处 | 网上办事大厅 | 智慧职教云平台 | 工学云 | 思政学习平台 | 扩招学习平台 | VR看校【宝福路】 | VR看校【蟠龙】

地址:陕西省宝鸡市宝福路56号 联系电话:0917-3633825 招生咨询电话:3328888/3633887/3633889

Copyright© 英国·威廉希尔(WilliamHill)中文官网-Official Website 版权所有 All Rights Reserved. 陕ICP备06007315号-2